2015
Procesos de contratación 2015
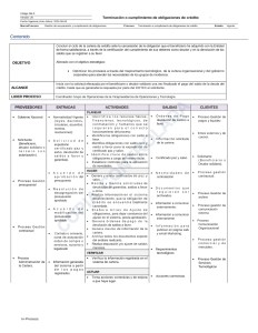
Atrás
terminacion-cumplimiento-obligaciones-credito-2025.pdf
terminacion-cumplimiento-obligaciones-credito-2025.pdf
Versión 1.0 Aprobado- Tipo del documento
- Documento básico
- Extensión
- Tamaño
- 461 KB
- Modificado
- 16/10/25 9:25 por Pablo Alexander Tenjo Villalba
- Creado
- 16/10/25 9:25 por Pablo Alexander Tenjo Villalba
- Localización
- Actualizado 2025
-
Versión 1.0Por Pablo Alexander Tenjo Villalba, en 16/10/25 9:25Registro sin cambios
Vista previa no disponible
Vaya… Parece que este elemento no tiene una vista previa que podamos mostrar.